hpcode dừng hoạt động từ 23h59 ngày 01/09/2026.

CÂY CON CHUNG LỚN NHẤT

Nguồn: None

1. Đề bài

Cho 2 cây \(T_{1}\)\(T_{2}\) mỗi cây có \(n\) nút. Cây \(T_{1}\) có nút gốc là \(r_{1}\), cây \(T_{2}\) có nút gốc là \(r_{2}\), Các nút trên cây được đánh số thứ tự từ 1 đến \(n\). Hãy tìm cây con chung của \(T_{1}\)\(T_{2}\) sao cho số nút của cây con chung là lớn nhất.

Biết rằng cây \(St\) (có nút gốc \(r_{st}\)) được gọi là cây con của cây \(T\) (có nút gốc \(r_{t}\)) khi thỏa một trong hai điều kiện:

1. \(St\ \)giống \(T\) hoàn toàn.

2. Từ \(T\) có thể loại bỏ 1 cung \((u,v)\) sao cho \(T\) trở thành 2 cây: cây thứ nhất có nút gốc \(r_{t}\), cây thứ 2 có nút gốc \(v\). Trong đó cây thứ 2 giống hoàn toàn cây \(St\).

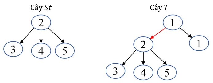
Ví dụ:

Cây \(St\) Cây \(T\)

Ở hình trên cây \(St\) là cây con của cây \(T\) vì khi xóa cung \((1,2)\) thu được cây có gốc \(v = 2\) giống cây \(St\).

Dữ liệu vào:

+ Dòng đầu ghi số nguyên dương \(n\ (1 \leq n \leq 10^{5})\) là số nút của mỗi cây.

+ Dòng thứ hai ghi số nguyên \(r_{1}\ (1 \leq r_{1} \leq n)\) là nút gốc của cây thứ nhất.

+ \(n - 1\) dòng tiếp theo, mỗi dòng ghi 2 số nguyên \(u,\ v\) cho biết 1 cung trên cây \(T_{1}\), trong đó \(u\) là “cha” của \(v\).

+ Dòng tiếp theo ghi số nguyên \(r_{2}\ (1 \leq r_{2} \leq n)\) là nút gốc của cây thứ hai.

+ \(n - 1\) dòng tiếp theo, mỗi dòng ghi 2 số nguyên \(u,\ v\) cho biết 1 cung trên cây \(T_{2}\), trong đó \(u\) là “cha” của \(v\).

Kết quả: Một số nguyên duy nhất cho biết số nút của cây con chung lớn nhất của hai cây \(T_{1}\)\(T_{2}\).

Ví dụ:

Input Output Giải thích
6
6
2 5
3 2
5 1
5 4
6 3
6
2 5
5 1
5 4
6 3
6 2
4 Cây con chung là
2 5
5 1
5 4
Gồm 4 nút {2, 5, 1, 4}

Bạn cần đăng nhập để nộp bài

hpcode.edu.vn
Code tích cực
Trong 24h
  1. baolam_gl_500 (3/10)
  2. justawave (2/3)
  3. uia_vyvy (1/3)
Trong 7 ngày
  1. justawave (15/43)
  2. manhquan (4/8)
  3. baolam_gl_500 (3/10)
Trong 30 ngày
  1. cosu (65/163)
  2. manhquan (34/87)
  3. vo_tan_dung (29/53)
Thống kê
AC/Sub: 120817/226949
Pascal: 18142
C++: 157988
Python: 50747
Lượt xem/tải tests: 43128

Lưu Hải Phong - 2020
[email protected]